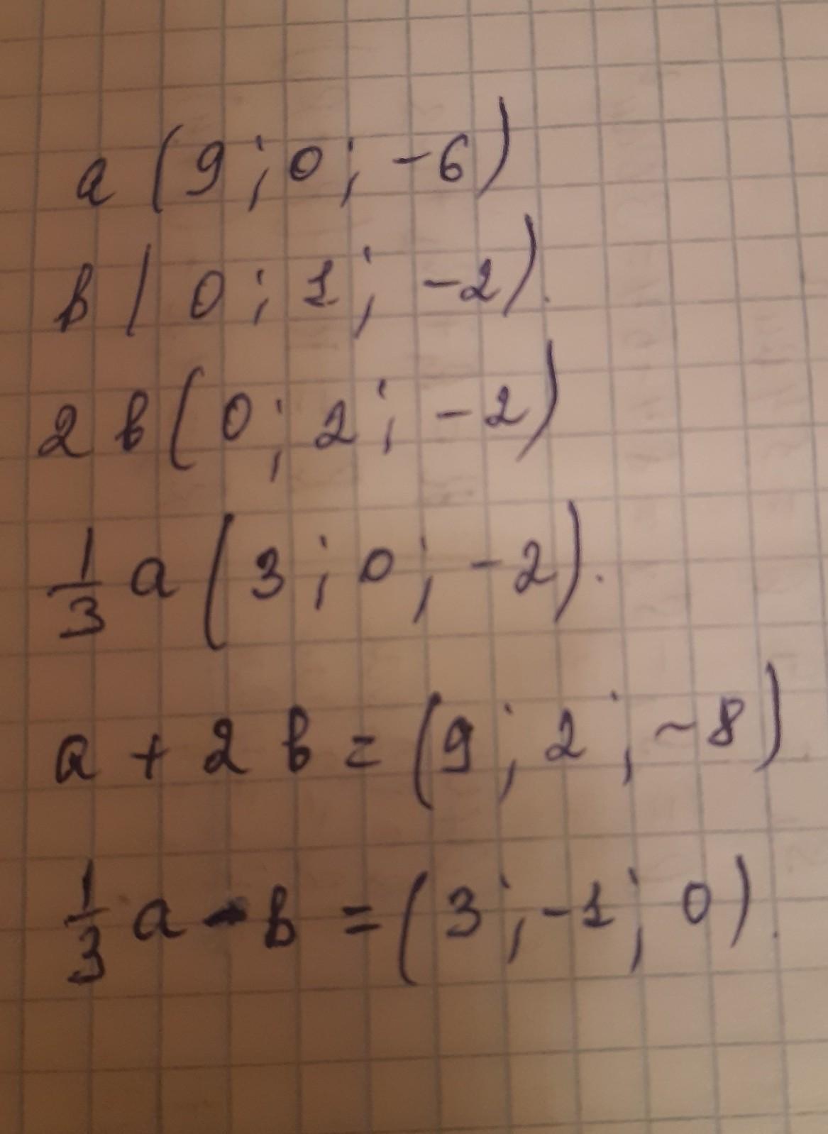
1. Задано вектори а (9; 0; -6) ib (0; 1; -2). Знайдіть ко- ординати вектора: 2) а+ 2b. 1)1/3a-b
Ответы
Ответ дал:
1
Объяснение:
см фото,,,,,,,,,,,,,,,,,,,,,,,,
Приложения:

Вас заинтересует
2 года назад
2 года назад
8 лет назад
9 лет назад
9 лет назад