Очень срочно, много балов
Приложения:

zybkov1950:
Другу задачу забув. Скиньте умову ще раз
Ответы
Ответ дал:
0
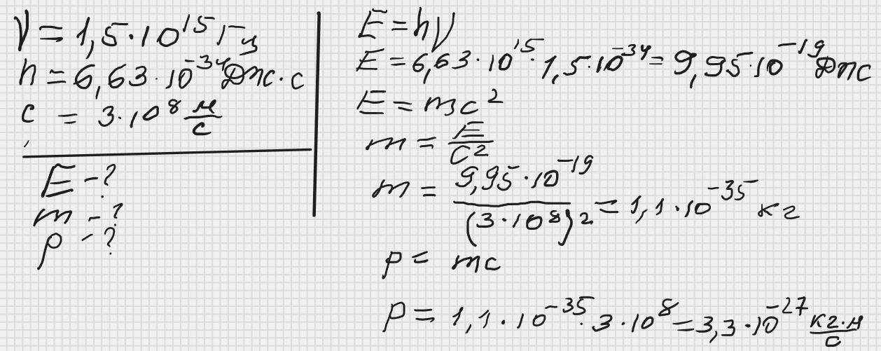
Ответ: m=1,1·10⁻³⁵ p= 3,3·10⁻²⁷ Е=9,95·10⁻¹⁹
Объяснение: Див. додаток
Приложения:

Вас заинтересует
2 года назад
2 года назад
2 года назад
8 лет назад
8 лет назад
9 лет назад
9 лет назад