• Предмет: Математика
  • Автор: vaseninakarol
  • Вопрос задан 7 лет назад

Допоможіть будь ласка дуже треба до 10:45

Приложения:

Ответы

Ответ дал: k0s0f
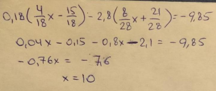
1

Ответ:

10

Пошаговое объяснение:

Приложения:
Вас заинтересует