• Предмет: Математика
  • Автор: shhhhm1
  • Вопрос задан 7 лет назад


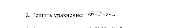
Срочно , пожалуйста!!!

Приложения:

Ответы

Ответ дал: myalinape
0

Ответ:

х=6

Пошаговое объяснение:

объяснение на фото.............

Приложения:
Вас заинтересует