• Предмет: Математика
  • Автор: sonyazara2010
  • Вопрос задан 7 лет назад

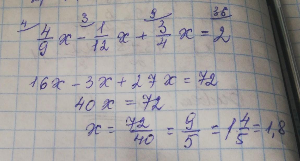
4/9х×-1/12×х+3/4×х=2 срочно!!! нужно решить на кр

Ответы

Ответ дал: larisaserova53
0

Ответ:

Смотри решение на фото..

Приложения:

larisaserova53: Привели дроби к общему знаменателю, равном 36 и решили
Вас заинтересует