Ответы
Ответ дал:
1
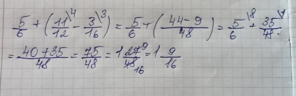
Ответ:
1 9/16
Пошаговое объяснение:
Ответ дал:
1
Ответ:
вариант 4
////////////
Приложения:

glebschapik:
в условии говорилось, что надо раскрыть скобки, но не суть важно
Вас заинтересует
2 года назад
2 года назад
2 года назад
8 лет назад
9 лет назад
9 лет назад