• Предмет: Алгебра
  • Автор: matvejpotokiii
  • Вопрос задан 7 лет назад

Найдите разность арифметичкой прогрессии, если

Приложения:

Ответы

Ответ дал: Dark955
1

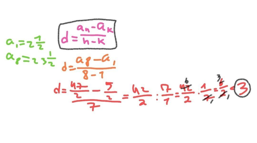
Ответ:

3

решение на фото

Объяснение:

применяешь лишь одну формулу - формула разности арифметической прогрессии

Приложения:

Dark955: сделай пожалуйста "лучший ответ"
Dark955: ПОЖАААЛУЙСТА :)
Вас заинтересует