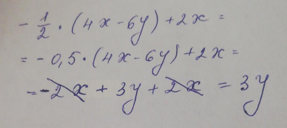
Розкрийте дужки и зведить подибни доданки - 1/2*(4х-6y)+2x
tatsach:
Перед 1/2 тире или минус
Ответы
Ответ дал:
0
Ответ:
Смотри решение на фото..
Приложения:


Вас заинтересует
2 года назад
2 года назад
2 года назад
8 лет назад