• Предмет: Математика
  • Автор: Zeus141
  • Вопрос задан 7 лет назад

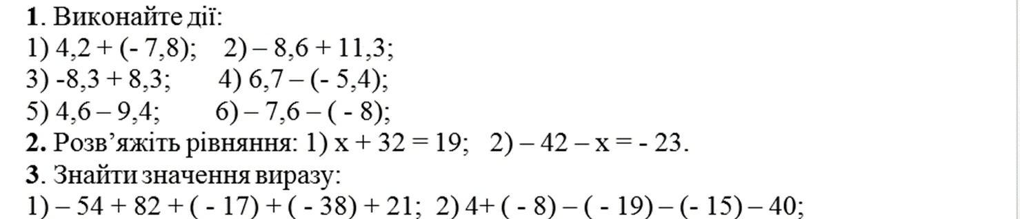
Плиз нужно срочно оддаю все баллы. Зделайте только уравнения

Приложения:

prouwu64: скинь уравнения
prouwu64: поменяй вопрос
Jomiko: Только уравнения? Я советую тебе тогда сфоткать только уравнения, а то кажется будто все задания надо делать) найдутся модераторы которые удалят.
Jomiko: сфоткай только уравнения
prouwu64: сложно валю отсюда
Zeus141: Извините немогу ответ дали редактировать нельзя
Aleksandria2008: можно ответ лучшим плиз?
Zeus141: Ок

Ответы

Ответ дал: Aleksandria2008
5

Ответ:

1)х=-13

2)х=-19

Пошаговое объяснение:

1)х+32=19

х=19-32

х=-13

2)-42-х=-23

х=-23+42

х=-19


Jomiko: Тебе ещё один лучший ответ остался, и ты будешь отличником)))!
Aleksandria2008: Спасибо большое))))
Aleksandria2008: Давай в инсте общаться?
Jomiko: У меня впн нету, Инстаграмм не работает…
Ответ дал: Jomiko
1

Ответ:

1) х = -13;

2) х = -19.

Пошаговое объяснение:

Как и сказано в задании: только уравнения.

1)

х + 32 = 19

х = 19 - 32

х = -13.

Проверка:

-19 + 32 = 19

19 = 19.

2)

-42 - х = -23

-х = -23 + 42

-х = 19

х = -19.

Проверка:

-42 - (-19) = -23

-23 = -23.

Вас заинтересует