• Предмет: Математика
  • Автор: mishasaenko0605
  • Вопрос задан 7 лет назад

математичний аналіз 2 завдання. Даю 70 балів!

Приложения:

Ответы

Ответ дал: bearcab
1

Ответ:

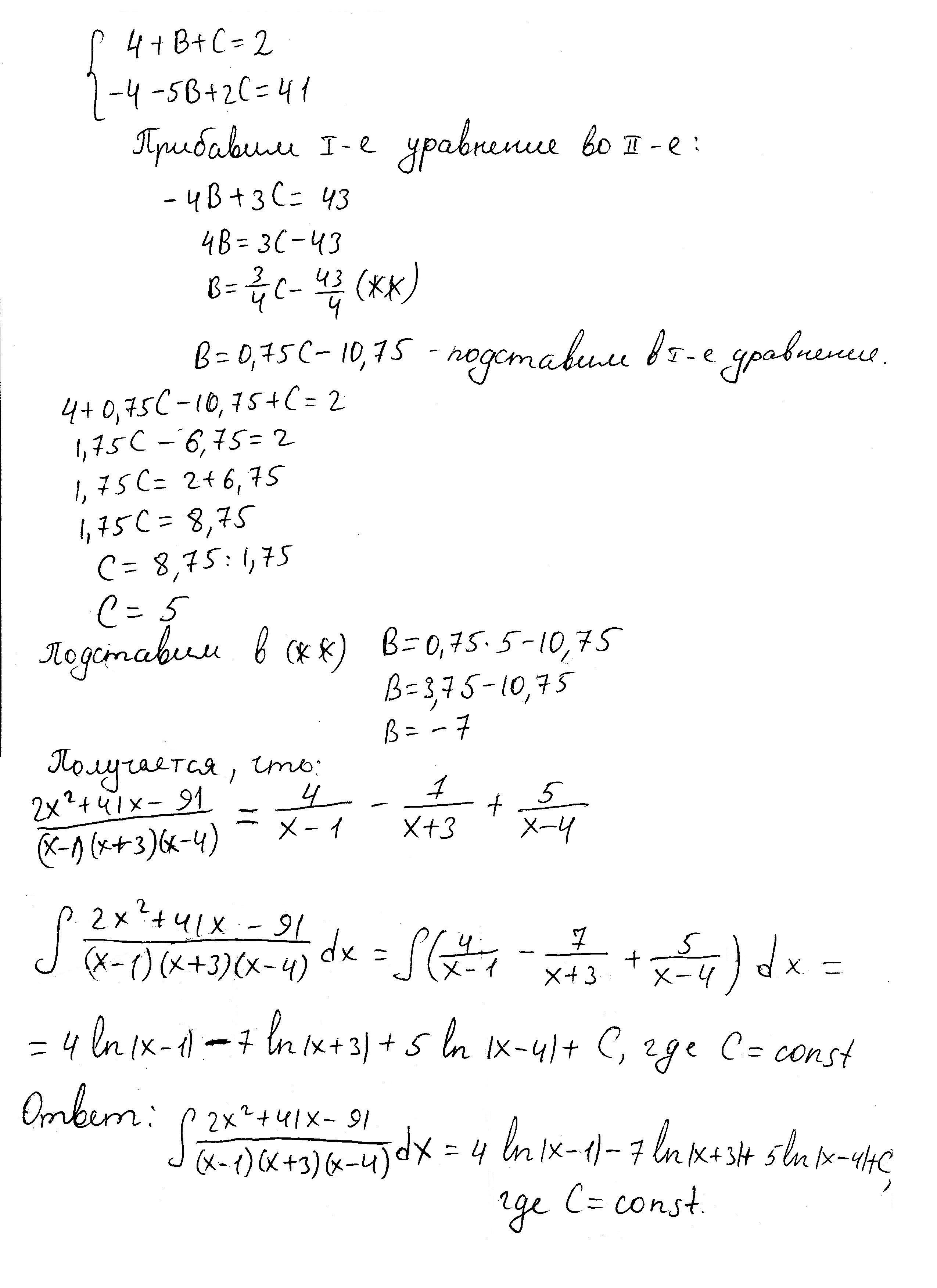
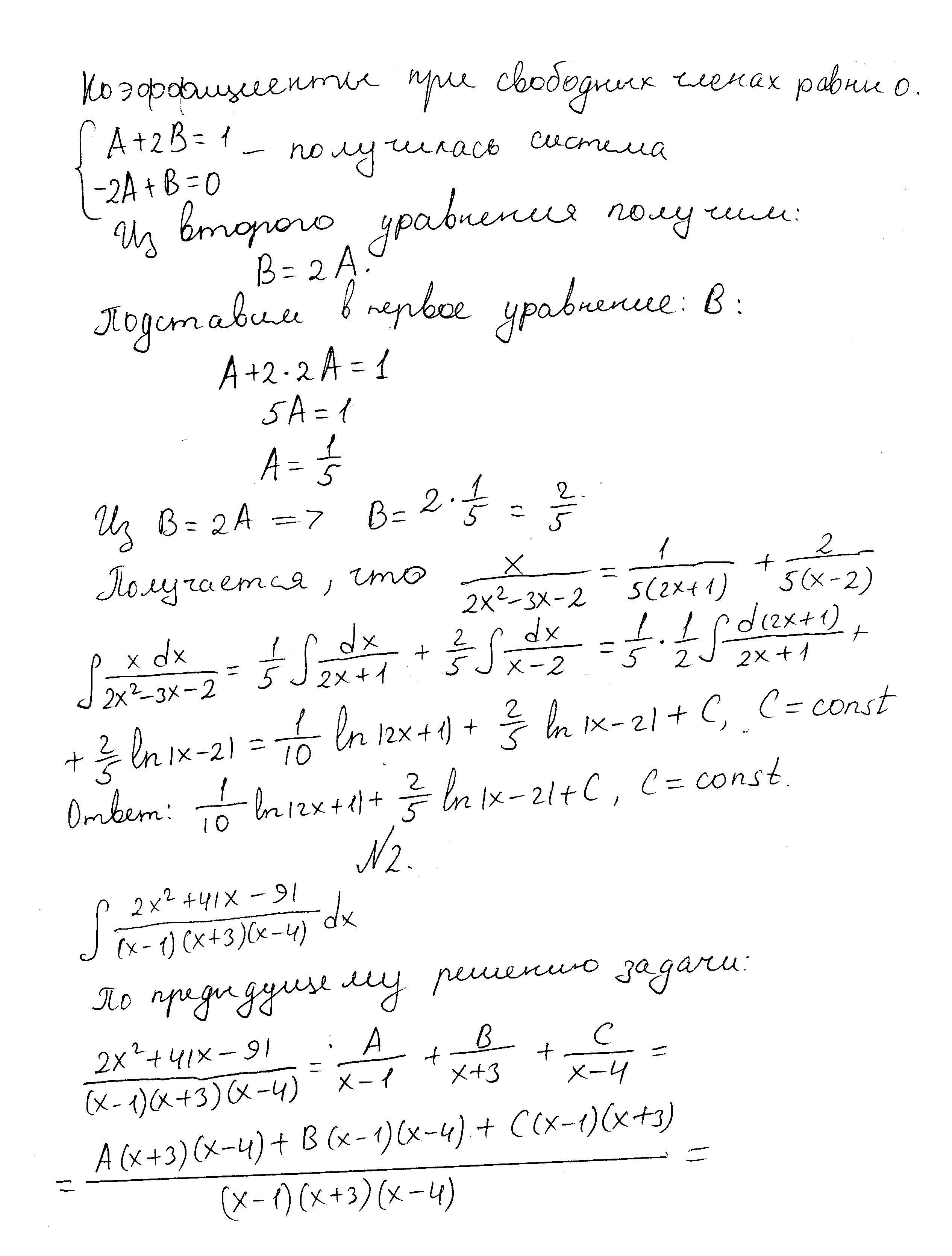
1) \frac{1}{10}\ln|2x+1|+\frac{2}{5}\ln|x-2|+C, C=Const

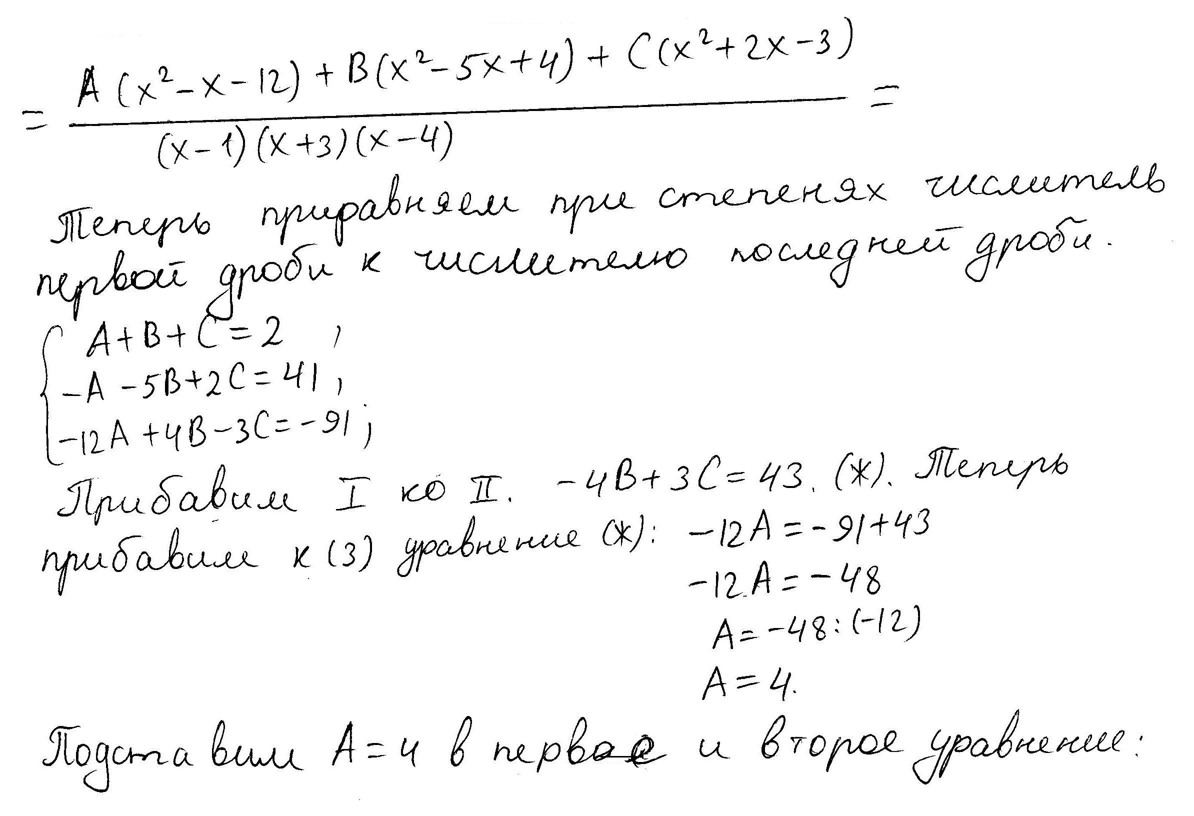
2) 4㏑|x-1|-7㏑|x+3|+5㏑|x-4|+C,  C=Const

Пошаговое объяснение:

Решение в приложении

Приложения:
Вас заинтересует