Фото ниже, помогите пожалуйста!!!!!!
Приложения:

yevheniiavz:
Ответ: -5/2, или же можно его записать как не дробью: -2,5.
Ответы
Ответ дал:
0
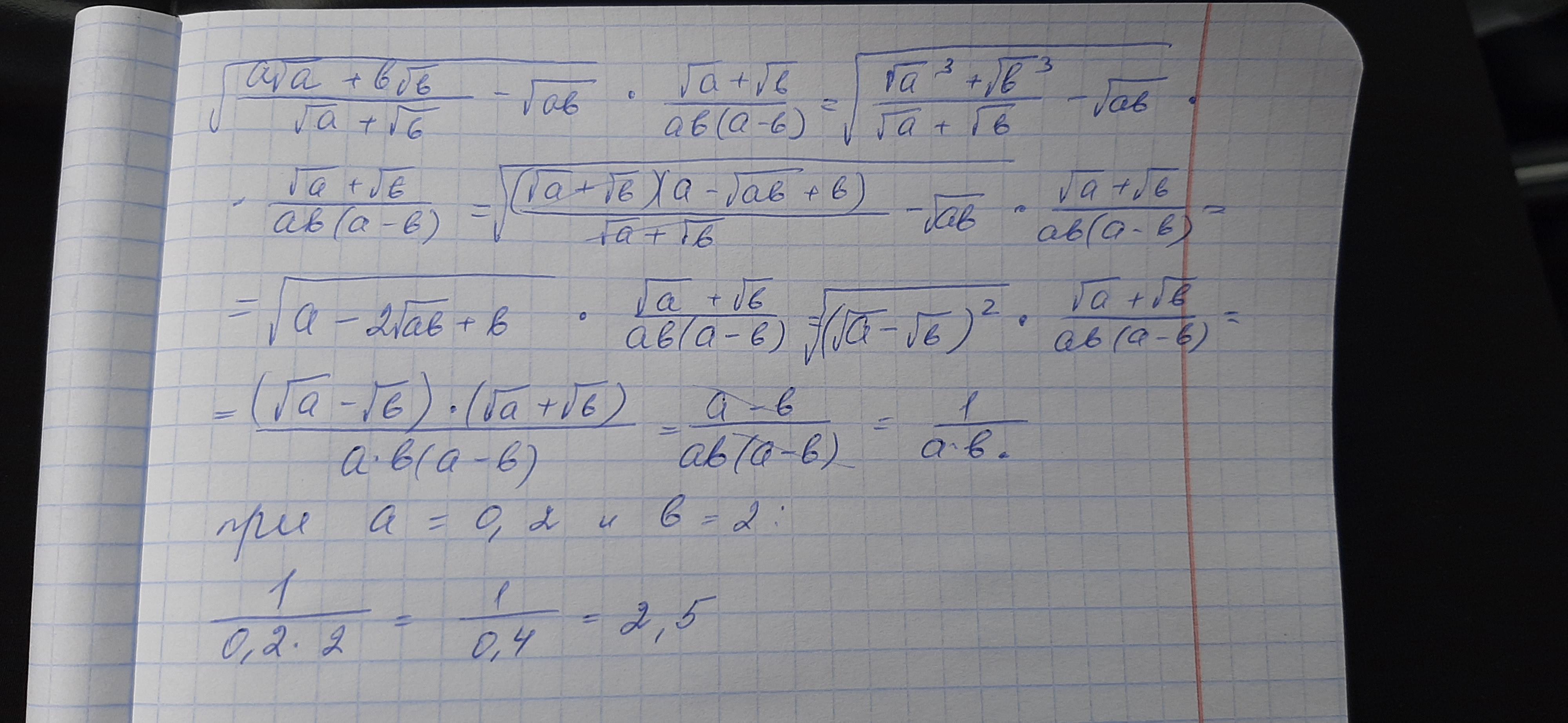
Ответ:
Пошаговое объяснение:
Приложения:

Вас заинтересует
2 года назад
2 года назад
2 года назад
8 лет назад
8 лет назад
9 лет назад
9 лет назад