• Предмет: Математика
  • Автор: ДамаЛора
  • Вопрос задан 7 лет назад

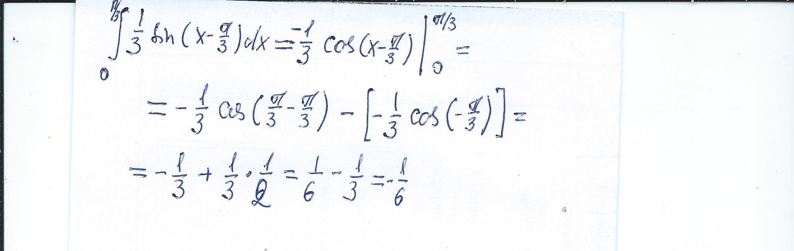
Вычислить интеграл. пи/3 вверху 0 внизу (1/3син(х-пи/3)dx

Приложения:

Ответы

Ответ дал: fenix6810
1

Ответ:

-1/6 расчет в файле приложения

Пошаговое объяснение:

Приложения:
Вас заинтересует