• Предмет: Геометрия
  • Автор: CyXaPyk
  • Вопрос задан 7 лет назад

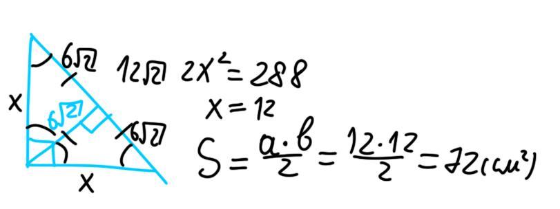
Найдите площадь равнобедренного треугольника,если высота опущенная из вершины прямого угла этого прямоугольного треугольника равна 6√2. ​

Ответы

Ответ дал: fytyrama345
0

Ответ:

Теорема Пифагора

Объяснение:

Приложения:

CyXaPyk: спасибо большое
Вас заинтересует