• Предмет: Алгебра
  • Автор: eirjejru
  • Вопрос задан 7 лет назад

100б
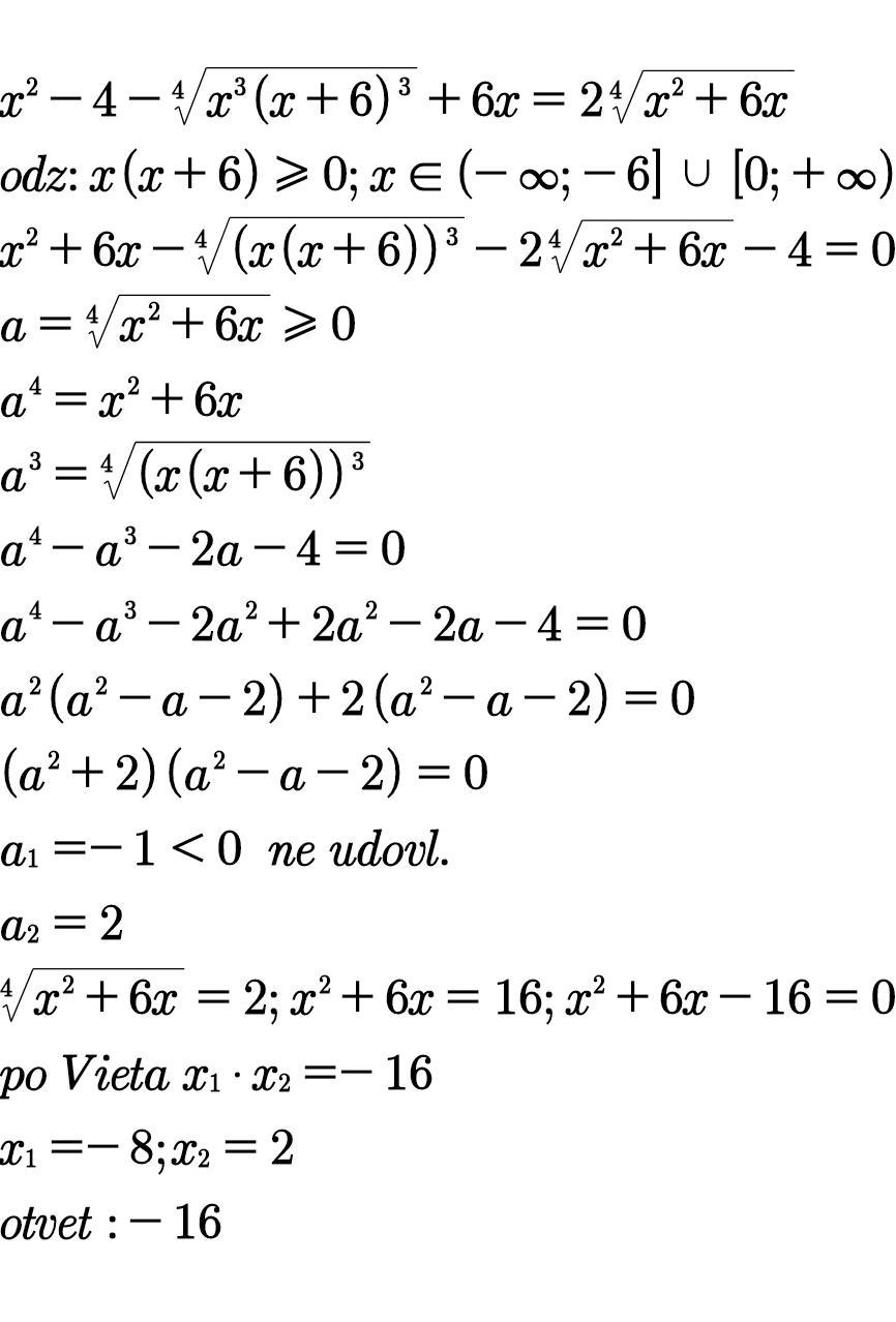
Задание на фото

Приложения:

Ответы

Ответ дал: tamarabernukho
1

Ответ:

-16

Объяснение:

.................

Приложения:
Вас заинтересует