• Предмет: Алгебра
  • Автор: farri4aa
  • Вопрос задан 7 лет назад

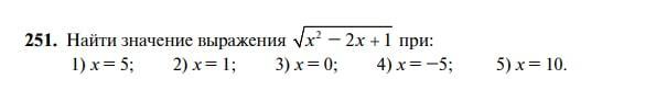
Найдите значение выражения, пример в закреплённом фото.
ДАЮ МНОГО БАЛЛОВ :)

Приложения:

Ответы

Ответ дал: darslanaliev
1

1:

\sqrt{5^{2}-2*5+1 }=\sqrt{25-10+1} =\sqrt{16} =4

2:

\sqrt{1^{2}-2*1 +1}=\sqrt{0} =0

3:

\sqrt{0^{2}-2*0+1}=\sqrt{0-0+1}=\sqrt{1}=1

4:

\sqrt{-5^{2}-2*-5+1 } =\sqrt{25+10+1}=\sqrt{36}=6

5:

\sqrt{10^{2}-2*10+1}=\sqrt{100-20+1}=\sqrt{81}=9


darslanaliev: если не сложно, поставьте лучший ответ
farri4aa: спасибо большое
Ответ дал: Аноним
1

Упростим √(х²-2х+1)=√(x-1)²=Ix-1I

модуль нуля нуль. модуль положительного числа само число. модуль отрицательного равен числу, противоположному данному.

а) х=5; I5-1I=4

2) х=1; I1-1I=0

3)х=0; I0-1I=1

4)х=-5; I-5-1I=6

5)х=10; I10-1I=9

Вас заинтересует