• Предмет: Физика
  • Автор: andriyav2
  • Вопрос задан 7 лет назад

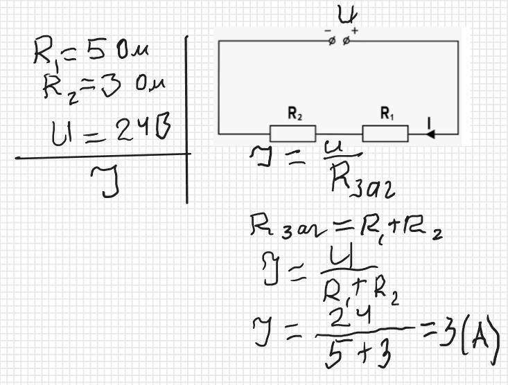
Резистори, опори яких 5 і 3 Ом, з’єднані послідовно й підключені до джерела постійної напруги 24 В. Знайдіть силу струму в колі.

Ответы

Ответ дал: zybkov1950
0

Ответ:  3 А

Объяснение: Див. додаток

Приложения:
Вас заинтересует