• Предмет: Геометрия
  • Автор: estelygacha
  • Вопрос задан 7 лет назад

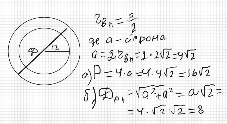
Радіус кола, вписаного в правильний чотирикутник, дорівнює 2корінь із 2см. Обчисли: а) пе риметр чотирикутника; б) діаметр кола, описаного навколо чотирикутника.​

Ответы

Ответ дал: zybkov1950
1

Ответ: а)16\sqrt{2}        б) 8

Объяснение: Див. додаток

Приложения:
Вас заинтересует