• Предмет: Математика
  • Автор: Аноним
  • Вопрос задан 7 лет назад

нужен только ответ в данном задании

Приложения:

Ответы

Ответ дал: zveryakovanata
1

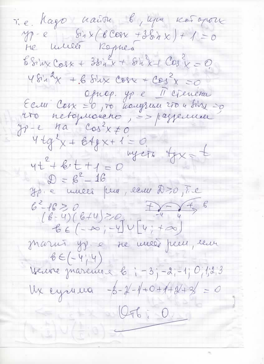
Ответ: 0

Пошаговое объяснение:

Приложения:
Вас заинтересует