• Предмет: Физика
  • Автор: ank09744789
  • Вопрос задан 7 лет назад

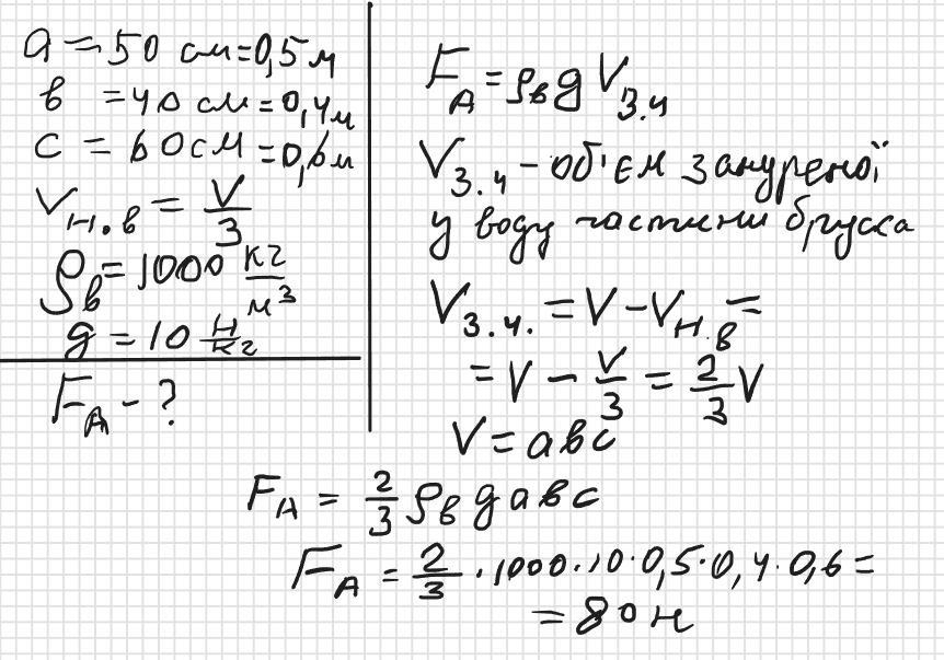
Брусок, розміри якого становлять 50х40х60см, плаває на поверхні води так, що надводна частина складає третину всього об’єму. Визначте силу Архімеда, що діє на брусок.​

Ответы

Ответ дал: zybkov1950
2

Ответ: 80 Н

Объяснение: Див. додаток

Приложения:
Вас заинтересует