• Предмет: Физика
  • Автор: lauraklimcuk
  • Вопрос задан 7 лет назад

даю 80 балів!!!
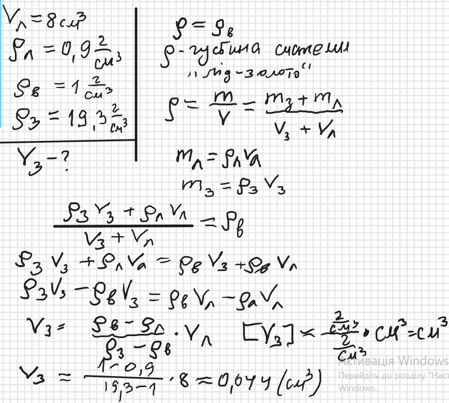
шматок льоду об'ємом 8см в якую вмерзла золота каблучка, плаває у воді повністю занурившись в неї . Знайдіть об'єм каблучки​

Ответы

Ответ дал: zybkov1950
1

Ответ: 0,044 см³

Объяснение: Див. додаток

Приложения:

lauraklimcuk: дуже дякую ❤️
Вас заинтересует