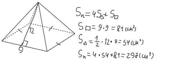
Знайти площу повної поверхні правильної чотирикутної піраміди, якщо ребро основи дорівнює 9 см, а висота бічної грані 12см
Ответы
Ответ дал:
0
Ответ:
Пошаговое объяснение:
Приложения:

Вас заинтересует
2 года назад
2 года назад
2 года назад
2 года назад
8 лет назад
8 лет назад
9 лет назад