• Предмет: Математика
  • Автор: kokr89stttttt
  • Вопрос задан 7 лет назад

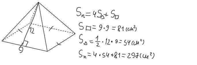
Знайти площу повної поверхні правильної чотирикутної піраміди, якщо ребро основи дорівнює 9 см, а висота бічної грані 12см

Ответы

Ответ дал: fytyrama345
1

Ответ:

Площадь квадрата, треугольника

Пошаговое объяснение:

Приложения:
Ответ дал: Аноним
1

Відповідь: 297 см2

Покрокове пояснення:

фото

Приложения:

kokr89stttttt: а мені показали, що відповідь 225 см2
kokr89stttttt: і яка правильна відповідь?
kokr89stttttt: 297 або 225?
Аноним: Подивіться розрахунки. Там 297 тільки.
kokr89stttttt: добре, дякую за допомогу!
Аноним: Чому порушення?
Вас заинтересует