Ответы
Ответ дал:
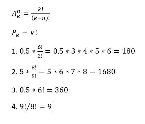
1
1 - Д
2 - Г
3 - А
4 - Б
в 4 опечатка
решения на картинке
Приложения:

Вас заинтересует
2 года назад
2 года назад
2 года назад
8 лет назад
8 лет назад
9 лет назад