• Предмет: Алгебра
  • Автор: howwels
  • Вопрос задан 7 лет назад

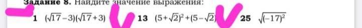
срочно прошу решите, 9 класс алгебра

Приложения:

Ответы

Ответ дал: wocuno
2

1. (√17-3)(√17+3)=17-9=8.

2.(5+√2)²+(5-√2)=25+10√2+2+5-√2=32+9√2.

3. √(-17)²=17.

Ответ дал: Applegate
4

Ответ:

на фотографии

Объяснение:

на фотографии

Приложения:
Вас заинтересует