• Предмет: Алгебра
  • Автор: arinakas57
  • Вопрос задан 7 лет назад

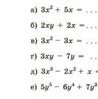
Вынесите общий многочлен за скобки. Даю 50 баллов срочно

Приложения:

Ответы

Ответ дал: rinaberger99
0
а)х(3х+5)
б)2х(у+1)
в)3х(х-1)
г)у(3х-7)
д)х(3х^2-2х+1)
е) у^3(5у^2-6у+7)
Ответ дал: yaroslavdnkalinini20
1

Ответ:а)х(3х+5)
б)2х(у+1)
в)3х(х-1)
г)у(3х-7)
д)х(3х^2-2х+1)
е) у^3(5у^2-6у+7)

Объяснение:

Вас заинтересует