• Предмет: Математика
  • Автор: hastyar2000day
  • Вопрос задан 7 лет назад

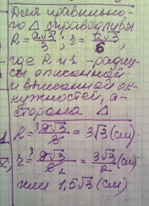
СРОЧНО ПОМОГИТЕ ПОЖАЛУЙСТА!!!!! сторона правильного трикутника дорівнює 9 см. обчисліть довжину кола, описаного навколо цього шестикутника, і кола, вписаного в нього.

Ответы

Ответ дал: manyny06
1

Ответ:

решение смотри на фотографии

Приложения:
Вас заинтересует