• Предмет: Алгебра
  • Автор: lizamaaksimova20
  • Вопрос задан 7 лет назад

Срочно помогите решить!
Решить уравнение:
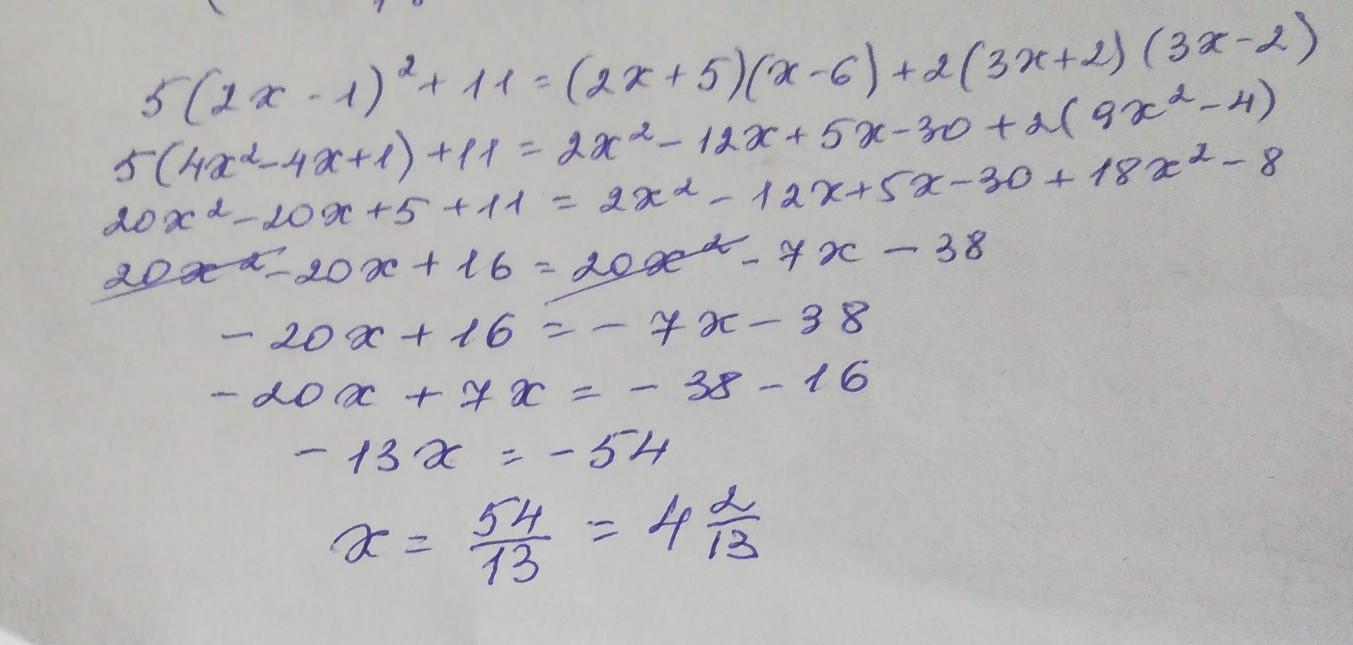
5(2x-1)²+11=(2x+5)(x-6)+2(3x+2)(3x-2)

Ответы

Ответ дал: larisaserova53
2

Ответ:

Смотри решение на фото..

Приложения:

larisaserova53: (х? 1)(х+1)-(х-3)^2
larisaserova53: зайдите в свой профиль, посмотрите внимательно, задание неверно вы выложили
versachexdior: я вопросы очень много задала, и я не могу найти
larisaserova53: в вашем профиле он 2)сверху
larisaserova53: я его написала уже несколько раз
larisaserova53: там написано:упростите выражение
versachexdior: если он во втором сверху то у меня вообще другой вопрос..
larisaserova53: тогда ищите его, чюя написала ваше задание в комментах
versachexdior: вы на этот вопрос пишите коммент у другого человека, а зайдите в мой профиль и напишите коммент тот вопросе который вы спрашиваете
larisaserova53: Ксожалению, ничем не могу помочь, сама не знаю!
Вас заинтересует