• Предмет: Алгебра
  • Автор: fedeneva2008
  • Вопрос задан 7 лет назад


ПОМОГИТЕ РЕШИТЬ ЭТУ СИСТЕМУ

Приложения:

Ответы

Ответ дал: MrRuke12
1

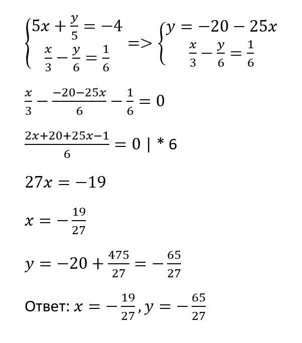
решение на прикрепленной картинке

Приложения:

fedeneva2008: Спасибо большое ☺️
Ответ дал: Darya044
1

Объяснение:

проверяла в Fotomath, сошлось)

Приложения:
Вас заинтересует