помогите пожалуйста!!!
1. Шафу масою 110 кг рівномірно тягнуть по підлозі, прикладаючи силу горизонтальну. Яка ця сила, Якщо коефіцієнт тертя 0,3?
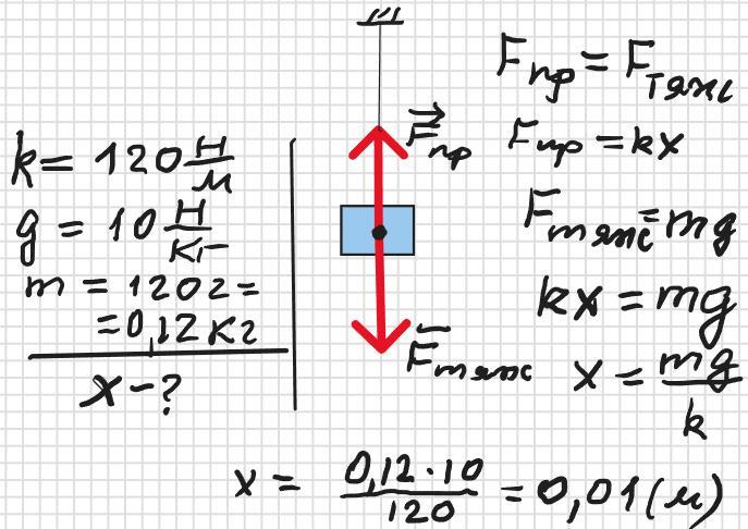
2. На скільки розтягнеться пружина, жорстокість якої 120Н/м, Якщо до неї підвісити брусок масою 120 г?
Ответы
Ответ дал:
1
Ответ: 1. 323,4 Н 2. 1 см
Объяснение: Див. додаток
Приложения:


curlyrose:
Дякую!!!
Вас заинтересует
2 года назад
2 года назад
8 лет назад
8 лет назад
9 лет назад