• Предмет: Алгебра
  • Автор: dakeyt30
  • Вопрос задан 7 лет назад

ПОМОГИТЕ пожалуйста ​

Приложения:

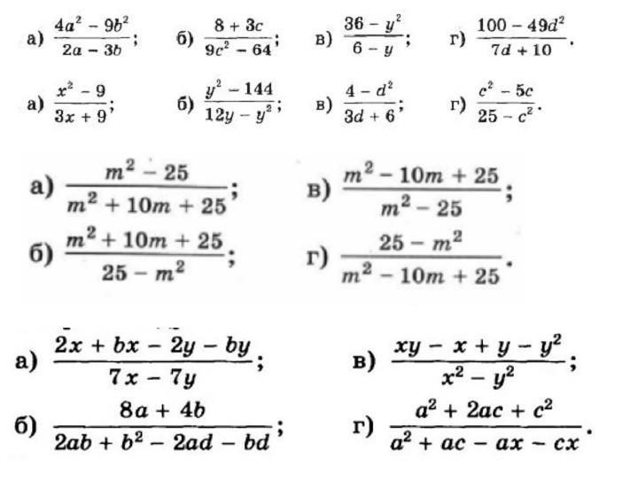
altueva54: а)2а+3b

Ответы

Ответ дал: altueva54
1

Ответ:

a)2a+3b

b)1/3с-8

в)6+y

г)7d-10

a)x-3/3

б)y+12/y

в)2-d/3

г)c/5+c

Объяснение:

Вас заинтересует