Ответы
Ответ дал:
2
Ответ:
Пошаговое объяснение:
12 целых 2/15 - (7 целых 11/15 + 2 целых 8/15)=12 2/15-7 11/15-2 8/15=1 13/15
12 целых 2/15 - (7 целых 11/15 + 2 целых 8/15)=12 2/15-10 4/15=1 13/15
Ответ дал:
1
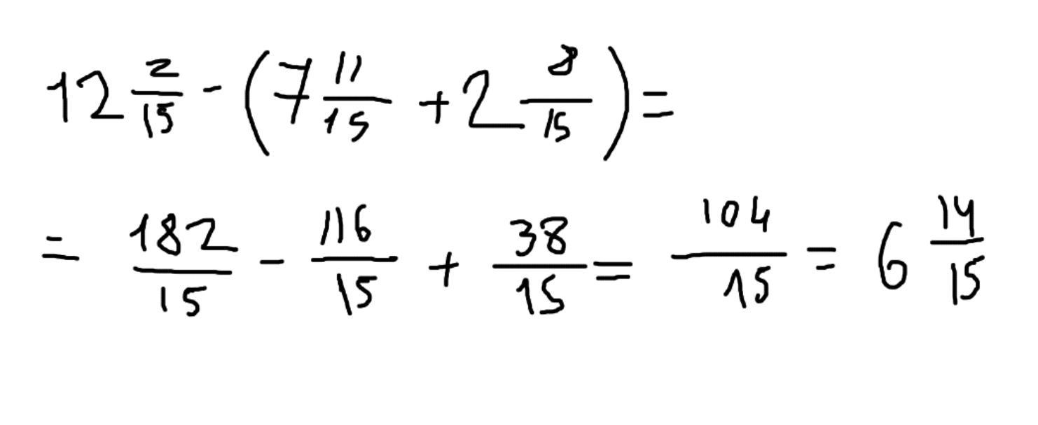
Ответ:
6 целых 14/15
Пошаговое объяснение:
Приложения:

Вас заинтересует
2 года назад
2 года назад
8 лет назад
9 лет назад