• Предмет: Алгебра
  • Автор: aa9389922
  • Вопрос задан 7 лет назад

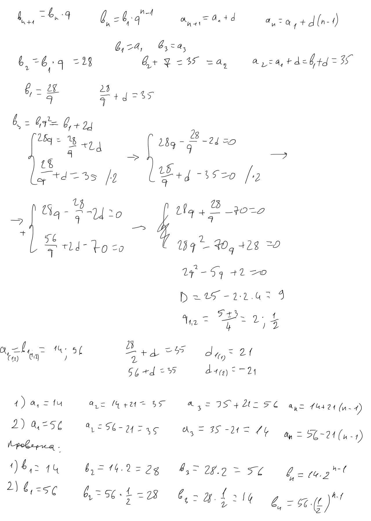
Три числа, друге з яких дорівнює 28, утворюють геометричну прогресію. Якщо до другого числа додати 7, а перше й трете залишити без змiн, то новi три числа утворять арифметичну прогресію. Запиши цю арифметичну прогресію.
СРОЧНО!!!!

Ответы

Ответ дал: Warlock1
2

Ответ:

Вот честно, за ход решения не уверен, но ответ должен быть верным, проверку в конце сделал (т.е. при проверке сошлось, что а1=в1, а2=в2+7, а3=в3)

Объяснение:

Приложения:
Вас заинтересует