• Предмет: Химия
  • Автор: Lgrjs
  • Вопрос задан 7 лет назад

Это очень срочно!!!!! Химия!!!
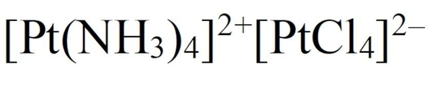
Назовите данный комплекс, напишите, кто является комплексообразователем в катионной сфере и координационное число в анионной сфере

Приложения:

Ответы

Ответ дал: garik113105
2

это тетрахлороплатинат тетраамминплатины.

Комплексообразователь в катионной сфере - платина.

Координационное число в а. сфере - 4


petrplay789: Почему 4, если 6?
Lgrjs: Нет, там 4
petrplay789: https://mypresentation.ru/documents_6/f7355f96a2d2772b199bec11caaa04a5/img7.jpg
garik113105: Координационное число - количество лигандов, связанных центральным атомом. Это не константа для каждого отдельного комплексообразователя (чаще металла). Сравни Na[Al(OH)4] и Na3[Al(OH)6]. Оба соединения существуют, у обоих комплексообразователь один и тот же - алюминий, но координационное число у одного равно 4, а у другого - 6, т.к. один комплексообразователь связал 4 лиганда, а другой - 6.
garik113105: Чаще всего координационное число равно степени окисления (с.о.) комплексообразователя * 2. Например, только Cr3+ может образовывать комплексы, поэтому мы берем с.о. именно от Cr3+ и умножаем на 2 - получаем 6. Значит, вероятнее всего, число связанных лигандов равняется шести и, действительно, существует соединение Na3[Cr(OH)6], что полностью подтверждает приведенный пример.
Вас заинтересует