• Предмет: Математика
  • Автор: draenko10
  • Вопрос задан 7 лет назад

Знайдіть похідну функції

y = x5 + 2 sin x

Ответы

Ответ дал: volkvolkovich22
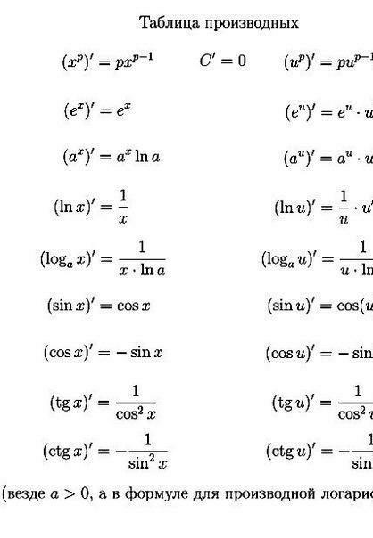
1

у=х^5 +2sin x

y'=5x^4 +2cos x

Приложения:

draenko10: а более подробнее можешь расписать решение?
volkvolkovich22: как подробнее? это все по свойству производных
volkvolkovich22: и по таблице, которую желательно запомнить
draenko10: спасибо,понял
volkvolkovich22: сейчас потерплю таблицу
Вас заинтересует