Ответы
Ответ дал:
1
Ответ:
= 800
Объяснение:
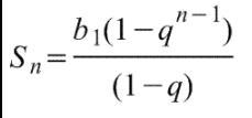
Сумма геометрической прогрессии вычисляется по формуле (прикреплена ниже)
В нашем случае b1=20, q= 3, n=5 (количество членов прогрессии)
Подставив получим: =
= (20 * (-80)) / (-2) = 800
Приложения:

Вас заинтересует
2 года назад
2 года назад
2 года назад
8 лет назад
8 лет назад
9 лет назад