• Предмет: Математика
  • Автор: Аноним
  • Вопрос задан 7 лет назад

Помогите пожалуйста даю все свои баллы​

Приложения:

Ответы

Ответ дал: livklb
1

решение во вложении...

Приложения:

livklb: можно пж лучший ответ
Ответ дал: princess302007
0
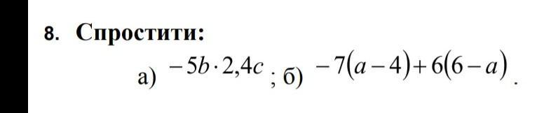
a) -13bc
Б) -7a+28+36-6a = -13a+28
Вас заинтересует