• Предмет: Алгебра
  • Автор: nikfil8002
  • Вопрос задан 7 лет назад

помогите!!!!!!!!!!!!!!!!!!!!!!!!!!!

Приложения:

Ответы

Ответ дал: Аноним
2

Объяснение:

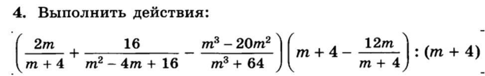
((2m)/(m + 4) + 16/(m ^ 2 - 4m + 16) - (m ^ 3 - 20m ^ 2)/(m ^ 3 + 64))(m + 4 - (12m)/(m + 4)) / (m + 4) \\ ((2m)/(m + 4) + 16/(m ^ 2 - 4m + 16) - (m ^ 3 - 20m ^ 2)/((m + 4)(m ^ 2 - 4m + 16)))(m + 4 - (12m)/(m + 4)) + (m + 4) \\ (2m(m ^ 2 - 4m + 16) + 16(m + 4) - (m ^ 3 - 20m ^ 2))/((m + 4)(m ^ 2 - 4m + 16)) * (m ^ 2 + 4m + 4m + 16 - 12m)/(m + 4) * 1/(m + 4) \\ (2m ^ 3 - 8m ^ 2 + 32m + 16(m + 4) - (m ^ 3 - 20m ^ 2))/((m + 4)(m ^ 2 - 4m + 16)) * (m ^ 2 + 4m + 4m + 16 - 12m)/(m + 4) * 1/(m + 4) \\ (m ^ 3 + 12m ^ 2 + 48m + 64)/((m + 4)(m ^ 2 - 4m + 16)) * (m ^ 2 - 4m + 16)/(m + 4) * 1/(m + 4) \\ ((m + 4) ^ 3)/((m + 4)(m ^ 2 - 4m + 16)) * (m ^ 2 - 4m + 16)/(m + 4) * 1/(m + 4) \\

с окружаем общий делитель m ^ 2 - 4m + 16

(m + 4) ^ 2 * 1/(m + 4) * 1/(m + 4) \\

сокращаем общий делитель на m + 4

получаем ответ 1

Вас заинтересует