• Предмет: Математика
  • Автор: nuribraim8
  • Вопрос задан 7 лет назад

помогите с матешой 8 класс,дам 50 баллов​

Приложения:

Ответы

Ответ дал: kamilmatematik100504
1

Ответ: t ∈  ( 1 ;  ∞ ) или  t > 1

Пошаговое объяснение:

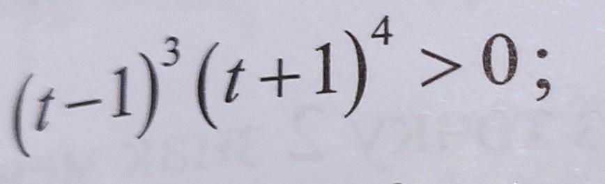
\displaystyle (t-1)^3(t+1)^4 > 0

Воспользуемся методом интервалов

Найдем знаки

При подстановке большого числа например t = 100 , выходит плюс дальше так как у  ( t-1 )³  степень нечетная ,  то следующий знак будет  минус  ,   и т.к   у ( t+1 )⁴ степень четная , то следующий знак будет тоже минус .



---- (-1)----(1)++++ > _t
                                      ///////////

Так как нам нужна положительная часть , то выходит что
 


t \in (~1 ~ ; ~ \infty ~  )


Ответ дал: matilda17562
1

Ответ:

(1; + ∞)

Пошаговое объяснение:

1. Рассмтрим функцию у = (t - 1)³(t + 1)⁴:

D = R.

Нули функции :

(t - 1)³(t + 1)⁴ = 0

t - 1 = 0 или t + 1 = 0

t = 1 и t = - 1

2. Определим знак функции на каждом из промежутков:

_____ -____(-1)____-_____(1)____+_____t

y > 0 при t є (1; +∞ )

Вас заинтересует