Ответы
Ответ дал:
1
Ответ:
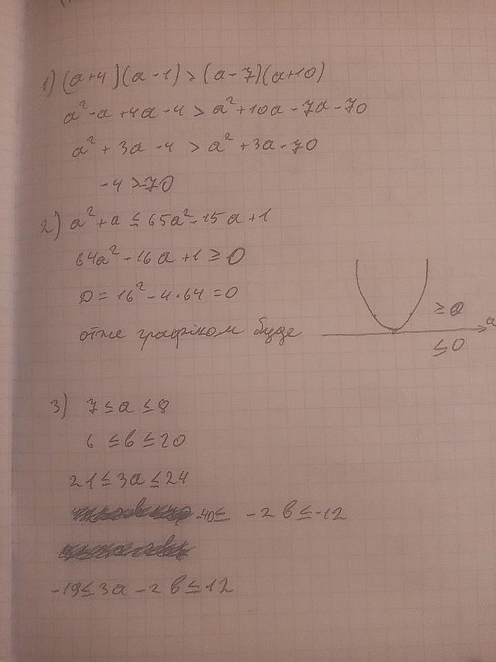
на фото.
Объяснение:
в другому, оскільки дискримінант дорівнює нулю, то графік лише дотикається до осі, а через те, що коефіцієнт а більший нуля, то парабола напрямлена вгору.
Приложения:

Вас заинтересует
2 года назад
2 года назад
2 года назад
8 лет назад
9 лет назад