• Предмет: Математика
  • Автор: DENNIS2445
  • Вопрос задан 7 лет назад

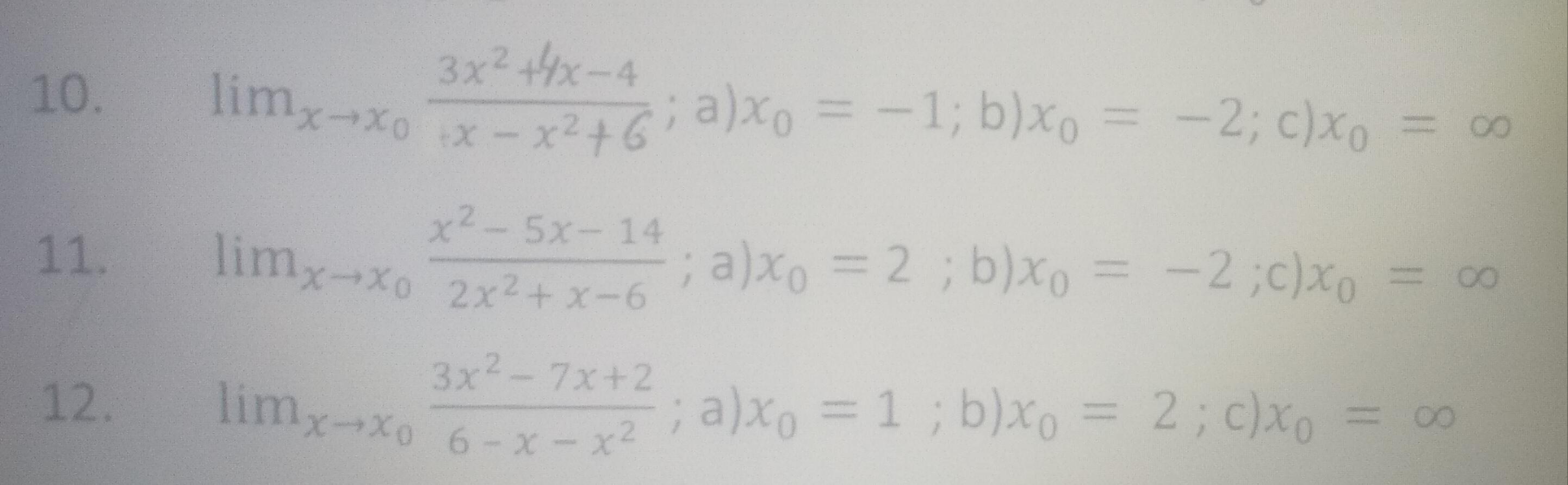
Решите пожалуйста пример. Границя функций в точке.
10 пример все остальные не нужно.
Заранее спасибо.

Приложения:

Ответы

Ответ дал: podkorytovaelena94
1

Ответ:

\lim_{x \to x_{0} }  \frac{3x^{2}+4x-4 }{x-x^{2} +6}

а)

x_{0} = -1\\  \lim_{x \to -1 }  \frac{3(-1)^{2}+4(-1)-4 }{(-1)-(-1)^{2} +6}  =   \frac{3-4-4}{-1-1+6} = \frac{-5}{4} = -1.25

б)

x_{0}  =  -2

\lim_{x \to \ -2}  \frac{3x^{2}+4x-4 }{x-x^{2} +6}

3x^{2} +4x-4 = 0\\D = 16+4*3*4 = 64\\x_{1} = \frac{-4+8}{6} = \frac{4}{6} = \frac{2}{3}  \\ x_{2} = \frac{-4-8}{6}  = -2\\ 3x^{2} +4x-4 = 3(x+2)(x-\frac{2}{3} )\\ \\x-x^{2} +6 = 0\\x^{2} -x-6 = 0\\D = 1+4*6 = 25\\x_{1}  = \frac{1+5}{2} = 3\\ x_{2} = \frac{1-5}{2} = -2\\-x^{2} +x+6 = -(x-3)(x+2) \\\\ \lim_{x \to -2 } \frac{3x^{2}+4x-4 }{x-x^{2} +6} =  \lim_{x \to \ -2} \frac{3(x+2)(x-\frac{2}{3}) }{-(x+2)(x-3)}  = \lim_{x \to \ -2}   -\frac{3(x-\frac{2}{3}) }{(x-3)} = -3*2\frac{2}{3}: -5 = 1

в) x_{0} =

\lim_{x \to \infty} \frac{3x^{2}+4x-4 }{x-x^{2} +6} =  \lim_{x\to \infty} \frac{3+\frac{4}{x}-\frac{4}{x^{2} }  }{-1+\frac{1}{x}+\frac{6}{x^{2} }  }  = \frac{3}{-1}  = -3

Вас заинтересует