• Предмет: Математика
  • Автор: aminariana14
  • Вопрос задан 7 лет назад

ПОМОГИТЕ РЕШИТЬ! ВОТ ЭТО

Приложения:

Ответы

Ответ дал: Neuuu
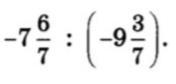
1
-55/7:(-66/7)
55/7*7/66
5*1/6
Ответ: 5/6

luckavika1708: 55/7:(-66/7)
aminariana14: А почь? Мы начели умножать? 55/7*7/66
Ответ дал: parus77
0

Ответ:

Пошаговое объяснение:

при делении "-"  на "-"  получаем "+"

превращаем смешанные дроби в неправильные

чтобы разделить дробь на дробь,надо делимое умножить на число,обратное делителю.

решение внизу

Приложения:
Вас заинтересует