• Предмет: Алгебра
  • Автор: wixthiiooo
  • Вопрос задан 7 лет назад

ПОМОГИТЕ РЕШИТЬ!!!!
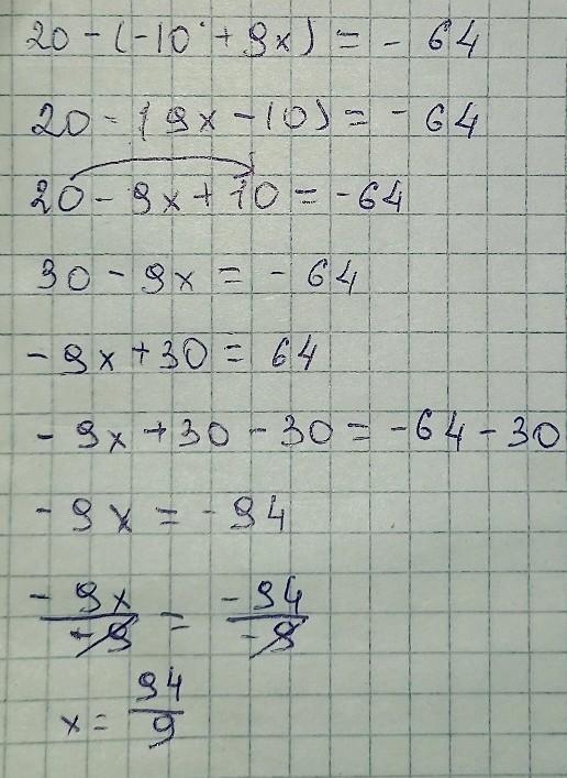
20-(-10+9х)=-64

Ответы

Ответ дал: podkorytovaelena94
1

Ответ:

20-(-10+9х)=-64

20+10-9x = -64

30-9x = -64

9x = 94

x = \frac{94}{9} = 10\frac{4}{9}

Ответ дал: Аноним
2

Ответ:

х=94/9 = 10 4/9

Объяснение:

Сначала я:

1. Переставила члены уравнения.

2. Раскрыла скобки.

3. Сложила числа.

4. Переставила члены уравнения.

5. Вычла 30 из обеих частей.

6. Упростила.

7. Разделила обе части на одно и то же значение.

8.Упростила.

9.Получила ответ.

Приложения:
Вас заинтересует