Ответы
(не решая уровнение, скажите,чему равна сумма и чему равно произведение его решений. Угадай эти решение) делать это конечно не будем, решим уровнем и решим чему равно произведение
°°°°°°°°°°°°°°°°°°°°°°°°°°°°°°°°°°°°°°°°°°°°°°°°°°°°°°°°°°°°°°°°
А) ↓ ответ:
объяснение:
мы должны записать в виде разности
выносим за скобки общий множетель х
выносим за скобки общий множетель -10
выносим общий множетель х-1
п произведение равно 0 получается что как минимум один из множитель равен 0
-----------------------
х-1=0
переносим постоянную правую часть прибавляем к обеим частям противоположное к ней
х-1+1 =0+1
у нас получилось что сумма двух противоположных величин равна 0, значит удаляем их из выражения
х=0+1
удаление 0 не изменила значения,
значит уберем 0 из выражения
х=1
х-10=0
------------------------
=========================================
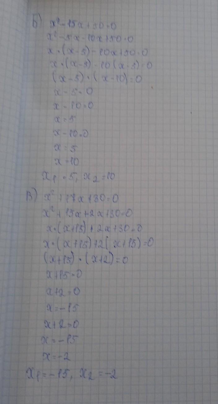
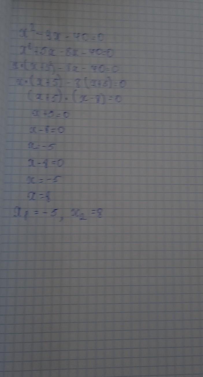
решение на фотографии.

