Ответы
Ответ дал:
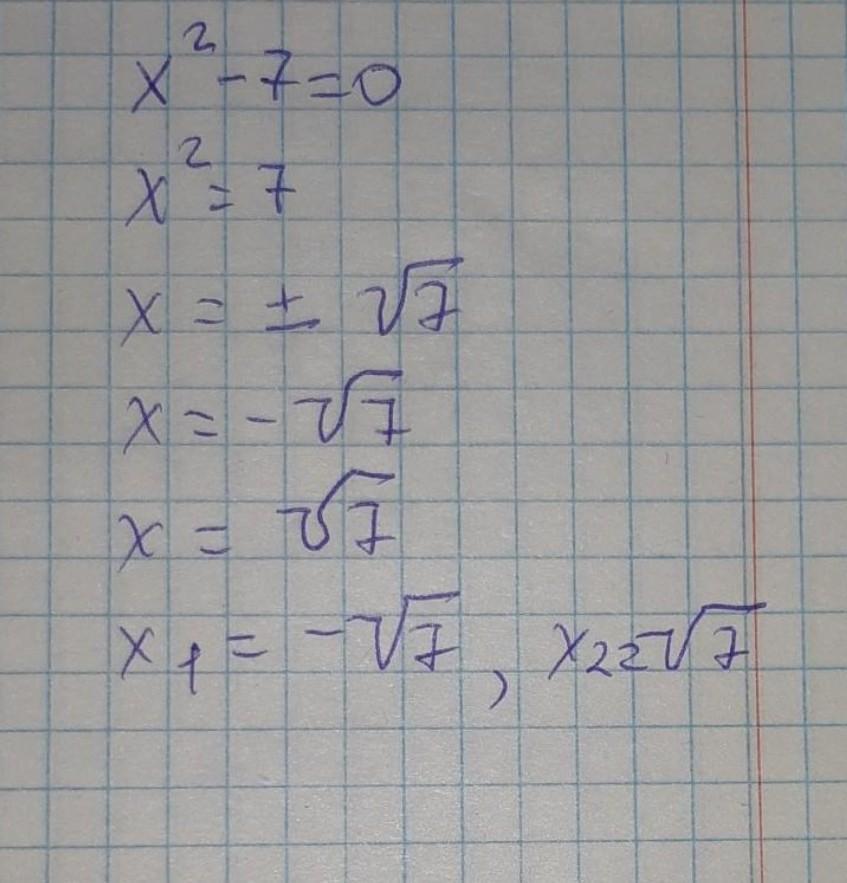
0
Объяснение:
вот пожалуйста если не понятно обращайся я рада помочь
если ты хочешь написать хв квадрате не пиши х2 степень пишИ таким значком ;)
Приложения:

Vikaksenita:
а х2 это ровно или 2 корень з 7?
Ответ дал:
0
учись и будь крутым пацан
Приложения:

Вас заинтересует
2 года назад
2 года назад
2 года назад
2 года назад
8 лет назад
9 лет назад