Ответы
Ответ дал:
0
Ответ:
Объяснение:
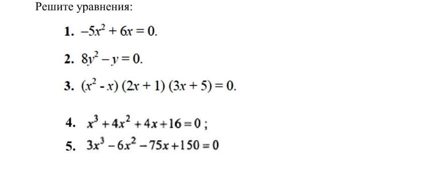
1. -5x²+6x=0
X(5x-6)=0
X= 0
5x-6=0
5x=6
x= 1,2
X1=0, x2=1,2
2.8y²-y=0
y(8y-1)=0
y=0
8y-1=0
8y=1
y=1/8 (или 0,125)
Y1 =0, Y2= 0,125
3. (X²-x)(2x+1)(3x+5)=0
X²-x=0
2x+1=0
3x+5=0
1. X²-x=0
X(x-1)=0
X1=0, x2= 1
2. 2x+1=0
2x=-1
X= - 1/2
3. 3x+5=0
3x=-5
X= -5/3
X1 = -5/3 x2 = -1/2 x3= 0, x4= 1
Объяснение:
1. -5x²+6x=0
X(5x-6)=0
X= 0
5x-6=0
5x=6
x= 1,2
X1=0, x2=1,2
2.8y²-y=0
y(8y-1)=0
y=0
8y-1=0
8y=1
y=1/8 (или 0,125)
Y1 =0, Y2= 0,125
3. (X²-x)(2x+1)(3x+5)=0
X²-x=0
2x+1=0
3x+5=0
1. X²-x=0
X(x-1)=0
X1=0, x2= 1
2. 2x+1=0
2x=-1
X= - 1/2
3. 3x+5=0
3x=-5
X= -5/3
X1 = -5/3 x2 = -1/2 x3= 0, x4= 1
Вас заинтересует
2 года назад
2 года назад
3 года назад
3 года назад
8 лет назад
10 лет назад