• Предмет: Физика
  • Автор: Annn1333
  • Вопрос задан 7 лет назад

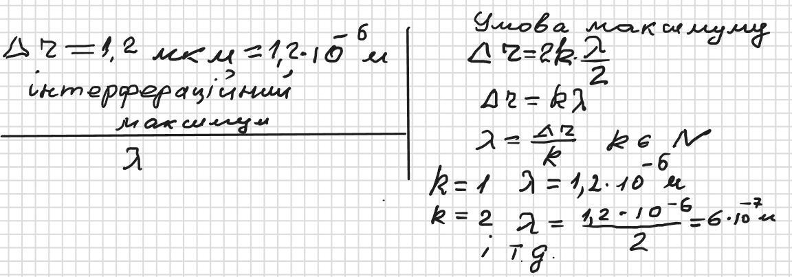
До деякої точки простору приходять дві хвилі з різницею ходу 1,2 мкм. Якою може бути довжина хвилі, якщо в даній точці спостерігається максимум?

Ответы

Ответ дал: zybkov1950
1

Ответ: Див. додаток

Объяснение: Див. додаток

Приложения:
Вас заинтересует