• Предмет: Физика
  • Автор: bacinskijpavlo
  • Вопрос задан 7 лет назад

Чому дорівнює маса тіла на яке на поверхні Землі дує сила тяжіння 3H?Будь ласка треба до 15:00 здати даю сві бали​

Ответы

Ответ дал: zybkov1950
0

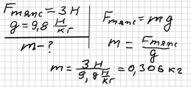
Ответ: 306 г

Объяснение: Див. додаток

Приложения:
Вас заинтересует