• Предмет: Геометрия
  • Автор: anarmustafaev0
  • Вопрос задан 7 лет назад

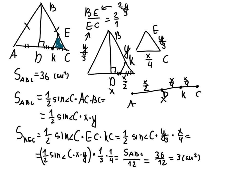
На основание AC равнобедренного треугольника ABC опущена высота BD. Точка K средняя точка
отрезка DC , а точка E делит боковую сторону BC в отношении |BE|: |EC| = 2: 1. Чему равна площадь
треугольника KEC, если площадь треугольника ABC равна 36 см2 ?
Ответ обоснуйте.

Ответы

Ответ дал: fytyrama345
1

Ответ:

Площадь треугольника, соотношения

Объяснение:

Приложения:
Вас заинтересует