• Предмет: Математика
  • Автор: makarnemk
  • Вопрос задан 7 лет назад

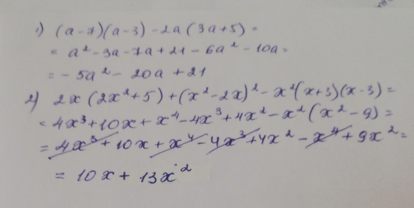
Помогите пж пж пж жпж упростить выражение (a-7)(a-3)-2a(3a+5);
2x(2x²+5)+(x²-2x)²-x²(x+3)(x-3)

Ответы

Ответ дал: larisaserova53
1

Ответ:

Смотри решение на фото..

Приложения:
Вас заинтересует