Ответы
Ответ дал:
0
Відповідь:
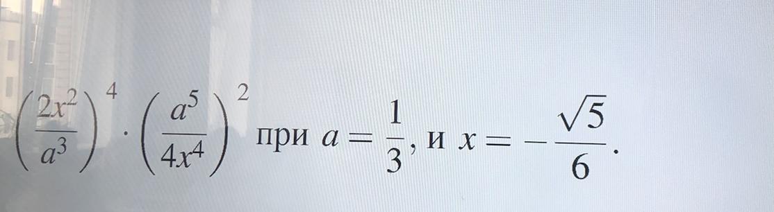
на фото
Пояснення:
х могли і не давати)
Приложения:

Ответ дал:
0
Вас заинтересует
2 года назад
2 года назад
2 года назад
8 лет назад
8 лет назад
9 лет назад